К-6. Квадратные уравнения

 К-6. Квадратные уравнения
  

Вариант 1
Часть 1
К каждому из заданий 1 – 4 даны 4 варианта ответа, из которых
только один правильный. Номер этого ответа обведите кружком
1.Какой из предложенных многочленов является квадратным трехчленом?
А) 8х2 + 4 – х3.              В) 2х4 – 5х2 + 1.         
Б) 4х – 9 + 2х2.              Г) х2 + 1/x - 2 
2.Какое из чисел -2; -1; 3;5 является корнем уравнения 4х2 – 11х – 3=0?
А) – 2.                Б) – 1.                  В) 3.                       Г) 5.
3.Найдите дискриминант квадратного уравнения х2 + 5х – 6=0.
А) 48.                Б)  49.                 В) 126.                   Г) 112.
1.Какое из предложенных квадратных уравнений не имеет корней?
А) 4х2 – 3х – 4 = 0.                      В) 9х2 + 6х + 1 = 0.
Б) х2 + 4х + 3 = 0.                        Г) 5х2 – х + 1 = 0.
При выполнении заданий 5 и 6 запишите ответ в отведенном месте
2.Решите уравнение х2 + 5х = 0.
Ответ: __________________
3.При каких значениях параметра  р  уравнение х2 – рх + 9 = 0 имеет один корень?                                                          
Ответ: ______________________
 
Часть 2
В заданиях 7 – 9 проведите полное решение и запишите ответ
4.Решите уравнение х4 – 17х2  + 16 = 0, используя метод введения новой переменной.
1.Решите уравнение      х2 + (√x)2 - 2 = 0.
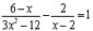
2.Решите уравнение      Квадратные уравнения.
Вариант 2
Часть 1
К каждому из заданий 1 – 4 даны 4 варианта ответа, из которых
только один правильный. Номер этого ответа обведите кружком
1.Какой из предложенных многочленов является квадратным трехчленом?
А) 4 – 9х + 3х2.              В) х2-5/x + 2.        
Б) 7х2 – 4х – х3.            Г) 3х4 – х2 + 5.
2.Какое из чисел  -2;  -1;  3;  5 является корнем уравнения  2х2 – 11х + 5 = 0?
А) – 2.                 Б) – 1.                  В) 3.                  Г) 5.
3.Найдите дискриминант квадратного уравнения    х2 – 2х – 15 = 0.
А) 62.                  Б) 63.                   В) 64.                Г) 65.
4.Какое из предложенных квадратных уравнений не имеет корней?
А) 4х2 + 3х – 4 = 0.                      В) 4х2 + 4х + 1 = 0.
Б) х2 + 4х + 7 = 0.                        Г) 5х2 – х – 1 = 0.
При выполнении заданий 5 и 6 запишите ответ в отведенном месте
5.Решите уравнение    -х2 + 8х = 0.                          
Ответ: __________________
6.При каких значениях параметра  р  уравнение    х2 + рх + 16 = 0   имеет один корень.                                                                    
Ответ: __________________
Часть 2
В заданиях 7 – 9 проведите полное решение и запишите ответ
7.Решите уравнение    х4 – 5х2 + 4 = 0,    используя метод введения новой переменной.
8.Решите уравнение   х2 - (√x)2 - 2 = 0
9.Решите уравнение  Квадратные уравнения.

Вариант  3
Часть 1
К каждому из заданий 1 – 4 даны 4 варианта ответа, из которых
только один правильный. Номер этого ответа обведите кружком
1.Какой из предложенных многочленов является квадратным трехчленом?
А) 8х2 + 5х – х3.           В) 7х2 + 2х + 1.       
Б) 4/x - 1 + х2.             Г) 5х4 + 2х2-2.
2.Какое из чисел    -2;  -1;  1;  3 является корнем уравнения   3х2 – 5х + 2 = 0?
А) – 2.               Б) – 1.               В) 1.                     Г) 3.
3.Найдите дискриминант квадратного уравнения х2 + 6х + 8 = 0.
А) 4.                  Б) 28.                В) 20.                   Г) 8.
4.Какое из предложенных квадратных уравнений не имеет корней?
А) 3х2 – 2х – 1 = 0.                      В) х2 + 2х + 1 = 0.
Б) 5х2 + х  – 1 = 0.                       Г) х2 + 2х + 8 = 0.
При выполнении заданий 5 и 6 запишите ответ в отведенном месте
5.Решите уравнение х2 - 12х = 0.
Ответ: ___________________
6.При каких значениях параметра  р  уравнение х2 + рх + 25 = 0 имеет один корень?                                                        
Ответ: ___________________
Часть 2
В заданиях 7 – 9 проведите полное решение и запишите ответ
7.Решите уравнение  х4 – 10х2 + 9 = 0, используя метод введения новой переменной.
8.Решите уравнение     х2 - 3(√x)2 -4 = 0.
9.Решите уравнение     квадратное уравнение.


Вариант 4
Часть 1
К каждому из заданий 1 – 4 даны 4 варианта ответа, из которых
только один правильный. Номер этого ответа обведите кружком
1.Какой из предложенных многочленов является квадратным трехчленом?
А) 5 -  + 4х2.             В) 7х2 – 2х3 + 1.       
Б) 3х2 – 2х + 1.              Г) 2х2 – х - х3.
2. Какое из чисел   -2;  - 1;  1;  2 является корнем уравнения  2х2 – 5х + 3 = 0?
А) – 2.               Б) – 1.                  В) 1.                     Г) 2.
3. Найдите дискриминант квадратного уравнения   х2 – 3х – 18 = 0.
А) 80.                Б) 81.                   В) 82.                   Г) 83.
4. Какое из предложенных квадратных уравнений не имеет корней?
А) 5х2 – 2х + 1 = 0.                      В) х2 + 14х + 49 = 0.
Б) 2х2 – х – 1 = 0.                        Г) х2 + 5х +1 = 0.
При выполнении заданий 5 и 6 запишите ответ в отведенном месте
5.Решите уравнение  - х2 + 7х = 0.                            Ответ: __________________
6.При каких значениях параметра р уравнение х2 – рх + 36 = 0 имеет один корень?                                                                           Ответ: __________________

Часть 2
В заданиях 7 – 9 проведите полное решение и запишите ответ
7.Решите уравнение    х4 – 26х2 + 25 = 0,    используя метод введения новой переменной.
8.Решите уравнение      х2 +3(√x)2 - 4 = 0.
9.Решите уравнение     квадратное уравнение.