Редакция ЕГЭ по математике (2009 г.). Часть 1 от Пт, 10/04/2009 - 21:15

Демонстрационный вариант ЕГЭ 2009 по математике для 11 класса. Часть 1

При выполнении заданий А1–А10 в бланке ответов 1 под номером выполняемого задания поставьте знак "×"в клеточке, номер которой соответствует номеру выбранного вами ответа.
 
A1. Упростите выражение
1) 0,7          2) 2           3) 10 0,7           4) 10 2
 
A2. Вычислите:
1) 0,36              2) 3,4                3) 1,2                 4) 0,012
 
A3. Вычислите: log2400−log225.
1) 8              2) 2                3) 3                   4) 4

A4. На одном из рисунков изображен график функции y=log2x. Укажите номер этого рисунка.
 
A5. Найдите производную функции h(x) = ex - 4x2 .
 
h'(x) = ex - 4/3x3
h'(x) = ex - 8x
h'(x) = ex - 2x
h'(x) = ex - 4x
 
A6. Найдите множество значений функции y = 3 cos x.
 
1) (−∞; +∞)         2) [−3; 3]             3) [−1; 1]            4) [0; 3]
 
A7. На рисунке показано изменение уровня воды водохранилища в течение 12 часов во время паводка. Как только уровень воды превысил отметку 10 метров, через сливные отверстия в плотине начали сбрасывать воду до того момента, пока её уровень понизился до отметки 10 метров. Определите, сколько часов длился сброс воды.
 
1) 10         2) 2          3) 6         4) 4
 
A8. Решите неравенство
 
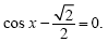
A9. Решите уравнение
 
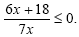
A10. Решите неравенство
 
 
Ответом на задания В1–В11 должно быть некоторое целое число или число, записанное в виде десятичной дроби. Это число надо записать в бланк ответов 1 справа от номера выполняемого задания, начиная с первой клеточки. Каждую цифру, знак минус отрицательного числа и запятую в записи десятичной дроби пишите в отдельной клеточке в соответствии с приведенными в бланке образцами. Единицы измерений писать не нужно.
 
B1. Найдите c, если
 
B2. На рисунке изображён график функции у = f(х) и касательная к нему в точке с абсциссой х. Найдите значение производной в точке х.
 
 
 
 
 
 
 
 
 

B3. Для оклейки стен ванной комнаты (см. рисунок) нужно приобрести керамическую плитку, причем плитка покупается с запасом в 10% от оклеиваемой площади. Ширина двери равна 0,75 м, высота – 2 м. Цена плитки 300 р. за 1 м2. Определите стоимость плитки, если стены решено оклеить полностью, от пола до потолка.