Олимпиадные задачи 2 тура с решениями и ответами - 2007 год

Олимпиадные задачи 2 тура с решениями и ответами - 2007 год

 
6 класс
 
  1. Если Коля купит 11 тетрадей, то у него останется 7 рублей, а на покупку 15 тетрадей ему не хватит 5 рублей. Сколько денег у Николая? Ответ обоснуйте.
  2. Какова последняя цифра ответа 2003 · 2005 · 2007 – 2000 · 2008? Ответ обоснуйте.
  3. Как разложить семь алмазов в четыре одинаковые шкатулки, чтобы вес всех шкатулок получился одинаковым, если вес алмазов 1, 2, 3, 4, 5, 6, 7. граммов. Ответ обоснуйте.
  4. На одной чаше весов лежит кусок мыла, на другой 2/3   такого же куска и еще 2/3 кг. Сколько весит весь кусок мыла? Ответ обоснуйте.
  5. Четыре ученика – Витя, Петя, Юра и Сергей – заняли на математической Олимпиаде  четыре первых места. На вопрос, какие места они заняли, были даны ответы:
а)   Петя – второе, Витя – третье;
б)   Сергей – второе, Петя – первое;
в)   Юра – второе, Витя – четвертое.
Укажите, кто какое место занял, если в каждом ответе правильна лишь одна часть. Ответ обоснуйте.
 
7 класс
 
  1. Не выполняя деления, выясните, делится ли значение выражения 37 · 124 + 21 · 124 + 58 · 554 на 678. Ответ обоснуйте.
  2. Средний возраст 11 игроков футбольной команды 22 года. Когда одного игрока удалили с поля, средний возраст оставшихся игроков составил 21 год. Сколько лет удаленному игроку? Ответ обоснуйте.
  3. Какова сумма всех цифр, используемых для записи всех натуральных чисел от 1 до  1 000 000? Ответ обоснуйте.
  4. 2% натурального числа А больше, чем 3% натурального числа В. Верно ли, что  5%  числа  А  больше, чем  7%  числа В?  Ответ обоснуйте.
  5. Ваня, Петя, Саша и Коля носят фамилии, начинающиеся на буквы В, П, С и К.  Известно, что 
a.Ваня и С. – отличники;
b.Петя и В. – троечники;
c.В. ростом выше П.;
d.Коля ростом ниже П.;
e.Саша и Петя имеют одинаковый рост.
На какую букву начинается фамилия каждого мальчика? Ответ обоснуйте.
 
8 класс
 
  1. Решите уравнение |x - 2007| = 2.
  2. Какова сумма всех цифр, используемых для записи всех натуральных чисел от 1 до 1 000 000? Ответ обоснуйте.
  3. В школе все учащиеся сидят за партами по двое, причем у 60% мальчиков сосед по парте - тоже мальчик, а у 20% девочек сосед по парте - тоже девочка. Сколько процентов учащихся этой школы составляют девочки?
  4. Дана белая доска размером 100 x 100 клеток. Двое по очереди красят ее клетки в черный цвет, причем первый всегда закрашивает квадрат 2 x 2, а второй три клетки, образующие «уголок». Уже покрашенную клетку второй раз красить нельзя. Проигрывает тот, кто не может сделать очередной ход. Кто выиграет при правильной игре: первый или второй? Ответ обоснуйте.
  5. Найдите сумму внешних углов выпуклого 2007-угольника. Ответ обоснуйте.
9 класс
  1. В параллелограмме АВС биссектриса угла С пересекает сторону А в точке М и прямую АВ  в точке К. Найдите периметр параллелограмма, если АК = 12, СМ = 24, МК = 18.
  2. Постройте график функции y = |x - 1| - |2 - x| + 2.
  3. Вычислите Вычислите .
  4. Решите уравнение x4 + 2006x2 – 2007 = 0.
  5. Токарь и его ученик, работая одновременно, обычно выполняют задание за 4 часа. При этом производительность труда токаря в 2 раза выше производительности ученика. Получив такое же задание, и, работая по очереди, они справились с заданием за 9 часов работы. Какую часть задания выполнил ученик токаря.
10 класс
  1. Вычислите Вычислите.
  2. Решите уравнение 3cosx = x2 + 3.
  3. Постройте график функции y =|x - 3| + |1 - x| - 4.
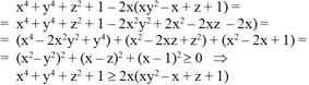
  4. Докажите, что x4 + y 4 + z 2 + 1 > 2x (xy 2 – x + z + 1).
  5. Пирамида Хеопса имеет в основании квадрат, а ее боковые грани – равные равнобедренные треугольники. Может ли угол грани при вершине пирамиды быть равным 95 Ответ обоснуйте.
11 класс
  1. Решите уравнение Решите уравнение.
  2. Функция y = f(x) определена на множестве всех действительных чисел и является периодической с периодом 5. Найдите значение выражения 
      f(-6) + f(19) – f(-13), если f(-1) = -2 и f(2) = 3,5.
  3. Какую наибольшую длину может иметь ребро правильного тетраэдра, который помещается в коробку, имеющую форму куба со стороной 1 см? Ответ обоснуйте.
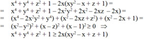
  4. Докажите, что x4 + y4 + z2 + 1 >= 2x (xy2 – x + z + 1).
  5. Сторона основания правильной треугольной пирамиды равняется а, а боковое ребро равняется b. Плоскость, параллельная боковому ребру и проходящая через скрещивающуюся с ним сторону основания, пересекает пирамиду по квадрату. Вычислите сторону квадрата.


Ответы и решения задач

2006 год

6 класс

  1. Ответ: 40 рублей.
  2. Ответ: последняя цифра 5.
  3. Ответ: 7 + (1 + 6) + (2 + 5) + (3 + 4). Вес одной доли алмазов равен 7 г.
  4. Ответ: 2 кг.
  5. Ответ: I – Петя, II – Юра, III – Витя, IV – Сергей.

7 класс 

  1. Ответ: Делится.
  2. Ответ: 32 года. 
  3. Ответ: 27 000 001. Разбить числа от 1 до 999 998 на пары: (1; 999 998), 
  4. (2; 999 997), …., (142 375; 857 624) и т. д. Получается 499 999 пар, сумма цифр в каждой из которых равна 54. Учитывая числа 999 999 и 1 000 000, получаем: 500 000 · 54 + 1 = 27 000 001.
  5. Ответ: Верно. Так как 2% числа А больше, чем 3% числа В, то 4% числа А больше,чем 6% числа В, кроме того, 1% числа А больше, чем 1% числа В. Учитывая это,получим, что 5% числа А больше, чем 7% числа В.
  6. Ответ: Саша - В., Петя – К., Коля – С., Ваня – П.

8 класс

  1. Ответ: 2009, 2005.
  2. Ответ: 27 000 001. Разбить числа от 1 до 999 998 на пары: (1; 999 998),
  3. (2; 999 997), …., (142 375; 857 624) и т. д. Получается 499 999 пар, сумма цифр в каждой из которых равна 54. Учитывая числа 999 999 и 1 000 000, получаем: 500 000 · 54 + 1 = 27 000 001.
  4. Ответ: 33+1/3%. Пусть всего в школе m мальчиков и n девочек. Заметим, что число мальчиков, сидящих с девочками, равно числу девочек, сидящих с мальчиками, т.е. число 0,4m (100% - 60% = 40% от числа m) равно 0,8n (100% - 20% = 80% от n). Поэтому m = 2n, и девочки составляют (m/(m + n)) · 100% = (n/(2n + n)) · 100% = (33+1/3)% учащихся.
  5. Ответ: второй. В одном из углов доски второй играющий своим первым ходом закрашивает три клетки в прямоугольнике 2 x 3, а три оставшиеся клетки из этого прямоугольника объявляет «заповедником». В дальнейшем второй делает любые возможные ходы, не затрагивающие клетки «заповедника». Если такой ход становится невозможным, то он закрашивает клетки заповедника. Легко понять, что ответного хода у первого играющего нет.
  6. Ответ: 360°.

9 класс

  1. Ответ: 88.1) Из подобия треугольников ∆ AMK и ∆ DMC:
    MK/MC = AK/DC ⇒ 18/24 = 12/CD, т. е. CD = (24 · 12)/18 = (24 · 2) /3 = 16.
    2)ﮮ BCM = ﮮ MCD (CM – биссектриса ﮮ BCD), ﮮ BKM = ﮮ DCM как накрест лежащие при параллельных прямых BK и DC, и секущей KC. Следовательно, ∆ BKC – равнобедренный.
    3)Таким образом, PABCD= 2 ∙ (16 + 28) = 88.
  2. Ответ:
  3. Ответ: 4 016 011. Пусть n = 2004, тогда . Преобразовав, получим
  4. Ответ: 1, -1.
  5. Ответ: ½ часть задания выполнит ученик.

 

10 класс

  1. Ответ: 4 016 011. Пусть n = 2004, тогда . Преобразовав, получим .
  2. Ответ: 0. Проанализировать какие значения могут принимать функции, стоящие в обеих частях уравнения.
  3. Доказательство.
  4. Ответ: 
  5. Ответ: нет. Боковая поверхность пирамиды состоит из четырех равнобедренных и равных треугольни­ков. Разрежем боковую поверхность пирамиды по боковым ребрам и развернем на плоскости. Тогда получим фигуру, изображенную на рисунке. При этом общая точка треугольников – вершина пирамиды. Если бы угол грани вершины пирамиды был 95°, то сумма четырех углов была бы равна 380°. А это невозможно, так как сумма углов пи вершине пирамиды меньше 360°.

11 класс

  1. Ответ: 1,5. Проанализировать какие значения могут принимать функции, стоящие в обеих частях уравнения.
  2. Ответ: -7,5.
  3. Ответ: √2 см. Радиус сферы RT, описанной около тетраэдра, не будет превосходить радиус сферы RK, описанной около куба. Пусть сторона тетраэдра а. Она будет равна ((2√3)/3)·RT. Самый большой тетраэдр, удовлетворяю­щий условию RT = RK, будет тетраэдр, ребра которого будут диагоналями куба.  В этом случае RK = √3/2, потому a = (2√6)/3· RT = (2√6)/RK = (2√6)/3 >· √6/3 = √2.
  4. Доказательство. 
  5. Ответ: сторона квадрата равна ab /(a + b). Использовать подобие треугольников.